Advertisement

Prep4sures.top CT PT Exam 163620

Here are some of the images for Prep4sures.top CT PT Exam 163620 that we found in our website database.

PT Exam PDF Materials Industrial Processes

PT Exam PDF Materials Industrial Processes

PT Exam 2 PDF

PT Exam 2 PDF

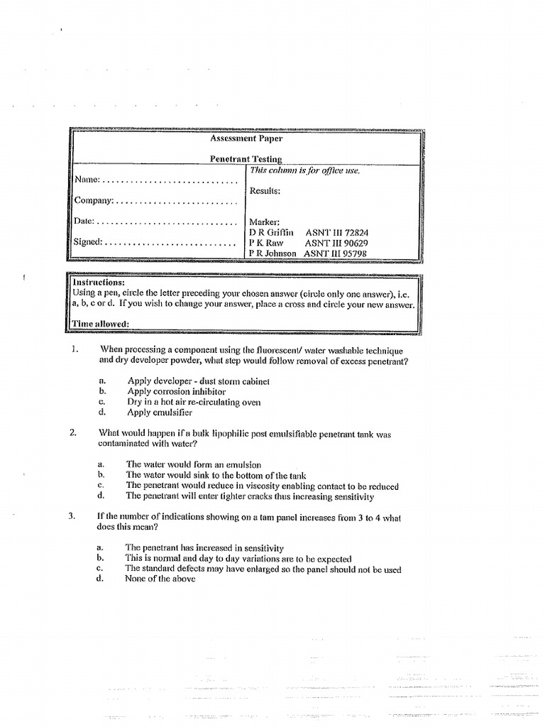
PT Exam Questions and Answers PDF

PT Exam Questions and Answers PDF

Gen002 Pt Exam PDF Nursing Goal Setting

Gen002 Pt Exam PDF Nursing Goal Setting

MAPEH 4 2nd PT Exam PDF

MAPEH 4 2nd PT Exam PDF

4th Quarter Philgov PT Exam 2022 2023 PDF

4th Quarter Philgov PT Exam 2022 2023 PDF

PPT CT PT Exam Prep Conquer the ISTQB Performance Testing Exam with

PPT CT PT Exam Prep Conquer the ISTQB Performance Testing Exam with

PT Exam: COMP 3 Quiz Flashcards Quizlet

PT Exam: COMP 3 Quiz Flashcards Quizlet

top cover removed

top cover removed

Exam Prep for Certified Tester Performance Testing (CT PT) Agilizing

Exam Prep for Certified Tester Performance Testing (CT PT) Agilizing

Ct And Pt Difference

Ct And Pt Difference

BPSC Announces New Date For Rescheduled PT Exam Check Details Here

BPSC Announces New Date For Rescheduled PT Exam Check Details Here

Ct Metering Wiring Diagram Wiring Draw

Ct Metering Wiring Diagram Wiring Draw

NPTE PT PTA Exam Prep 2024 para iPhone Descargar

NPTE PT PTA Exam Prep 2024 para iPhone Descargar

Pure Aid Palm Support Small Medium 1 Ct (1 Pack)

Pure Aid Palm Support Small Medium 1 Ct (1 Pack)

Sonoff NSPanel Wifi White Smart Screen

Sonoff NSPanel Wifi White Smart Screen

Circuit Diagram Of Ct Circuit Diagram Of Ct

Circuit Diagram Of Ct Circuit Diagram Of Ct

Pinhal General 22 (Sesimbra) Construção ecológica

Pinhal General 22 (Sesimbra) Construção ecológica

C100DEV Exam Fees Leader in qualification Exams MongoDB MongoDB

C100DEV Exam Fees Leader in qualification Exams MongoDB MongoDB

C100DEV Exam Fees Leader in qualification Exams MongoDB MongoDB

C100DEV Exam Fees Leader in qualification Exams MongoDB MongoDB

CT PT包括的なテスターでテストパラメーターを設定する方法は? ブログ

CT PT包括的なテスターでテストパラメーターを設定する方法は? ブログ

2024 Valid E ACTAI 2403 test answers SAP Exam PDF Q25 Q42 Prep4sures

2024 Valid E ACTAI 2403 test answers SAP Exam PDF Q25 Q42 Prep4sures

Trader Games CHILDREN OF MORTA PS4 FR NEW (GAME IN ENGLISH/FRANCAIS

Trader Games CHILDREN OF MORTA PS4 FR NEW (GAME IN ENGLISH/FRANCAIS

The Best Integration Architecture Designer Exam Study Material Premium

The Best Integration Architecture Designer Exam Study Material Premium

Screenshot 2024 01 16 163620 Nội Thất DK Decor

Screenshot 2024 01 16 163620 Nội Thất DK Decor

Boardee Basic Pot 2 2L Dimensões (Mm) 165X165X150 Cor Branco Conforama

Boardee Basic Pot 2 2L Dimensões (Mm) 165X165X150 Cor Branco Conforama

Maquina De Enrolar Automatica 1/4 RAW Tabacaria Marinho

Maquina De Enrolar Automatica 1/4 RAW Tabacaria Marinho

科技风基于云服务平台的智慧校园解决方案PPT模板【25页】 格调办公

科技风基于云服务平台的智慧校园解决方案PPT模板【25页】 格调办公

Glo Pals Cubos Luminosos Rua Sésamo Monstro Das Bolachas Produtos

Glo Pals Cubos Luminosos Rua Sésamo Monstro Das Bolachas Produtos

JAC EMP DIESEL CPCD 35 SERIE J TRIPLEX 4 5 METROS 3500 KG TUACAR

JAC EMP DIESEL CPCD 35 SERIE J TRIPLEX 4 5 METROS 3500 KG TUACAR

O que é uma sessão privada do Spotify e como usá la

O que é uma sessão privada do Spotify e como usá la

Nelson Semedo e Marlene Alvarenga vão casar se após 12 anos de namoro

Nelson Semedo e Marlene Alvarenga vão casar se após 12 anos de namoro

Kerja Sama Strategis PT Jasa Raharja dengan Universitas Gadjah Mada

Kerja Sama Strategis PT Jasa Raharja dengan Universitas Gadjah Mada

Quadrante BMW x6 f16 2014 2015 2016 2017 Novo Modelo Novidade 2025

Quadrante BMW x6 f16 2014 2015 2016 2017 Novo Modelo Novidade 2025

20221101 163620 Postimages

20221101 163620 Postimages

Marnie Goldberg #39 s House of Smoke Mirrors Where Everything is a Lie

Marnie Goldberg #39 s House of Smoke Mirrors Where Everything is a Lie

20231102 163620 Postimages

20231102 163620 Postimages

Dr Beutel Sano

Dr Beutel Sano

76 Batterson Park Rd Farmington CT 06032 Crexi com

76 Batterson Park Rd Farmington CT 06032 Crexi com

100  Agust D Concert Outfit Ideas: Women And Men Halter crop top

100 Agust D Concert Outfit Ideas: Women And Men Halter crop top

dut pop Teaching Resources Teachers Pay Teachers

dut pop Teaching Resources Teachers Pay Teachers

Finally Bssc cgl 3 mains practice set lgana start kr diye bihar ssc

Finally Bssc cgl 3 mains practice set lgana start kr diye bihar ssc

Coworker #39 s Lunch Gets Stolen Intense Office Drama Ensues Consejos

Coworker #39 s Lunch Gets Stolen Intense Office Drama Ensues Consejos

REEM PINCOURT JEANS LIGHT BLUE MOS MOSH Dimity Boutique fashion

REEM PINCOURT JEANS LIGHT BLUE MOS MOSH Dimity Boutique fashion

REEM PINCOURT JEANS LIGHT BLUE MOS MOSH Dimity Boutique fashion

REEM PINCOURT JEANS LIGHT BLUE MOS MOSH Dimity Boutique fashion

c sacs 2316 pdf Prep4sures http:/www prep4sures top Prep4sure exam

c sacs 2316 pdf Prep4sures http:/www prep4sures top Prep4sure exam

5 Piaget jewellery heist suspects arrested in France The Straits Times

5 Piaget jewellery heist suspects arrested in France The Straits Times

Suumatv com suuma tv app download lastest vertion Matches on Suuma TV

Suumatv com suuma tv app download lastest vertion Matches on Suuma TV

Amazon com: FJS Modern White Statue Table Decor for Living Room

Amazon com: FJS Modern White Statue Table Decor for Living Room

Review: The Fairmont Sonoma Mission Inn and Spa The Family Travel Guy

Review: The Fairmont Sonoma Mission Inn and Spa The Family Travel Guy

No Reserve Price Blue Green Tourmaline paraiba 2 44 ct Bellerophon

No Reserve Price Blue Green Tourmaline paraiba 2 44 ct Bellerophon

HP Prep4sures HPE2 T37 v2022 05 06 by jocelyn 13q pdf Prep4sures

HP Prep4sures HPE2 T37 v2022 05 06 by jocelyn 13q pdf Prep4sures

KINGTORO Modern White Ceiling Fans with Lights Flush Mount Reversible

KINGTORO Modern White Ceiling Fans with Lights Flush Mount Reversible

How India can win as US and China battle for supremacy India News

How India can win as US and China battle for supremacy India News

BPSC 70th PT Exam : 70 वीं BPSC PT परीक्षा की पूरी कहानी BPSC RE Exam

BPSC 70th PT Exam : 70 वीं BPSC PT परीक्षा की पूरी कहानी BPSC RE Exam

UPSC PT EXAM 2023 UPPSC PT EXAM 2023 68BPSC PT EXAM सभी परिक्षाओं के

UPSC PT EXAM 2023 UPPSC PT EXAM 2023 68BPSC PT EXAM सभी परिक्षाओं के

BPSC 70th PT Exam 2024 का पेपर लीक हुआ क्या? BPSC अभ्यर्थी फूट पड़े

BPSC 70th PT Exam 2024 का पेपर लीक हुआ क्या? BPSC अभ्यर्थी फूट पड़े

BPSC 69th PT Exam के लिए बनाए गए इतने सेंटर अभ्यर्थियों को झटका Admit

BPSC 69th PT Exam के लिए बनाए गए इतने सेंटर अभ्यर्थियों को झटका Admit

BPSC 70th PT Exam : Patna के Exam Center पर हंगामा की सच्चाई वहीं

BPSC 70th PT Exam : Patna के Exam Center पर हंगामा की सच्चाई वहीं

BPSC PT Exam देने पहुंचे अभ्यर्थी परीक्षा को लेकर दे रहे अलग अलग बयान

BPSC PT Exam देने पहुंचे अभ्यर्थी परीक्षा को लेकर दे रहे अलग अलग बयान